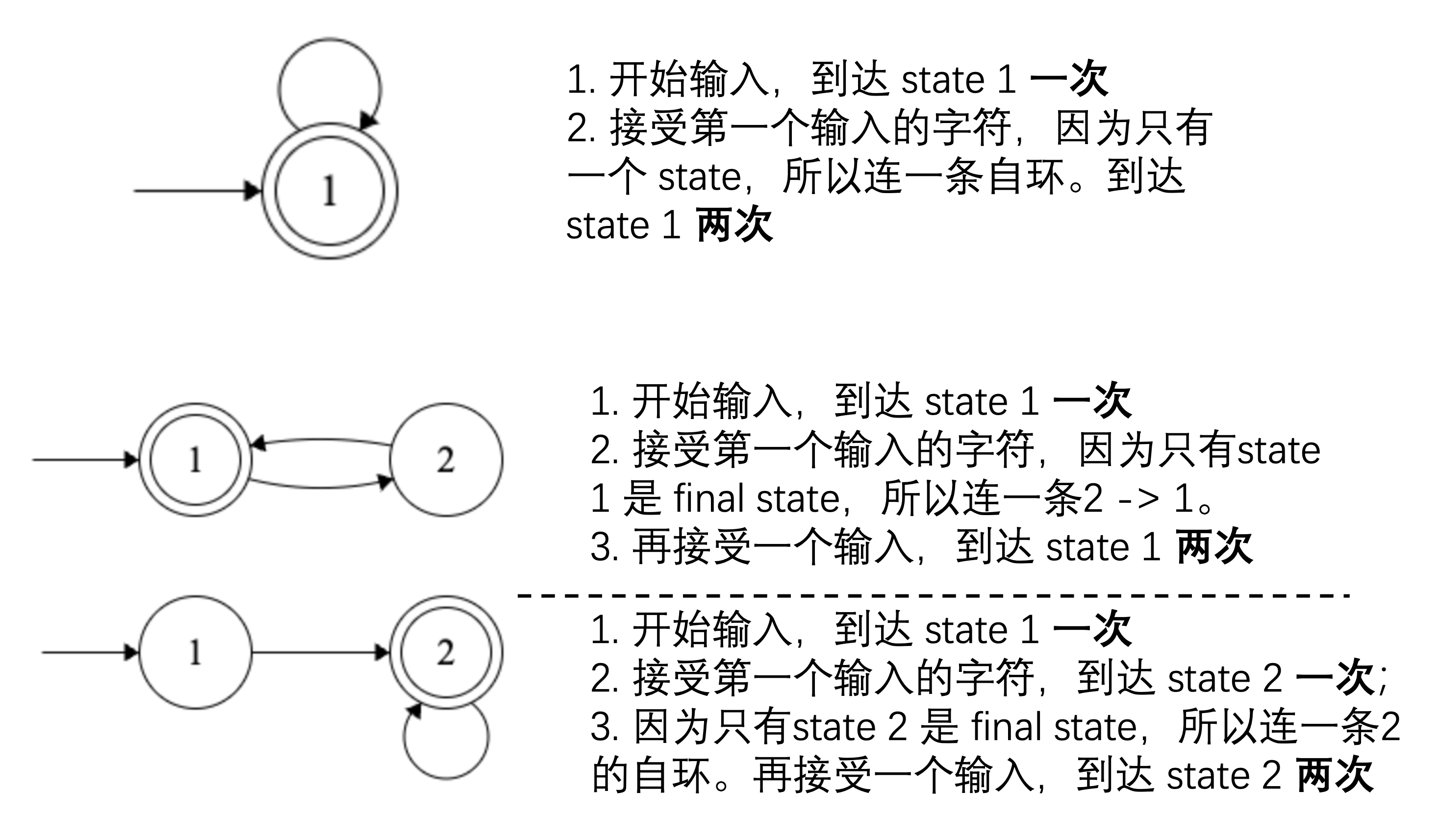
## Lec 02: Math 好像是一些概念,先放点重要的 ### Constructive Proof **规范步骤:** 1. Used to prove a predicate with existential quantifiers, *i.e.* $\exist x, P(x)$ 2. First, construct an object $x$ 3. Second, prove $P(x)$ is true ## Contradiction Proof 懒得写了,大概就是: 1. 写一个命题 $\exist x, P(x)$ 2. 然后给出逆否命题 $\exist \neg x$,并且证明 $P(\neg x)$ 为真 3. 自然得到 $x$ 为假 ### Induction 要证明 $\forall x \in \mathbb{N}, P(x)$,一句话:**一般归纳法只要 $k \to k+1$ 就行,但是 strong induction 要求** $1 \land 2 \land 3 \land \dots \land k \to k + 1$ ### Cardinality (范数) 首先抄一下定义:   证明 **Countable/Uncountable** 的方法主要有两个方法 1. Construct a bijection: $f: A \to \mathbb{N}$ **核心在于 Bijection** 1. 可以是一个函数,比如你要弄到 $(0,1)$ 就可以用 sigmoid 或者其他 activation function;你要证明 $[0, 10]$ 是 uncountable 的话,**即可以说明其 subset 不可数,亦可以写一个 $f(x) = \frac{x}{10}$ 之类的** 2. 也可以是一个可以 map to $\mathbb{N}$ 的遍历顺序 - 如果是一个形如 $(x_i, y_i)$ 这样的二元组要给一个遍历顺序的话,可以构造 zig-zag 2. 否则的话就需要用 Diagonal Proof 了,说实话这个比较唐。相当于你要给出一个遍历表,然后想办法构造一个不存在于表中的元素来说明你要证明的集合 uncountable. ## Lec 03/04: (Non-)Finite Automata 定义:需要包含一下元素 5 tuple $(Q, \Sigma, \delta, q_0, F)$ where: - $Q$ is a finite set of states - $\Sigma$ is a finite set, called the alphabet (set of input symbols) - $\delta$: $Q \times \Sigma \to Q$ is the transition function - $q_0 \in Q$ is the start (initial) state - $F \subseteq Q$ is the set of final (accept) states ### 做题1:设计 DFA / NFA #### 类型1: 数量型 这类是比较简单的题型。**Solution: 设计足够的转移边来满足数量匹配即可。** 比如说: 1.  2.  #### 类型2: 后缀(子串)匹配型 说白了,就是 KMP。想一下,KMP 做的事情是匹配一个真前缀和真后缀是吧。那么假设我们已经有了一个匹配所有合法串的自动机,那么现在这个自动机要判定一个新的串是否合法,可以把 initial state 当作构造串的分隔符(也就是吧新输入的串当作后缀,自动机里的串当作前缀)。那么这个自动机的状态就是要设计成匹配所有长度的后缀的状态。 感觉说的比较抽象。下面来点例子:  #### 类型3: 匹配带条件后缀(子串)型 一个例子: > {w|w contains no runs of length less than four}. A run in a string is a substring of length at least one and consisting entirely of the same symbol. For example, abbbaab has four runs: a, bbb, aa, b. 做这个不要慌,先化简一下问题。假如我们现在要搞一个DFA来匹配不包含长度 $\leq 4$ 的全由 $a$ 组成的子串的串。那么很显然构造的DFA至少要有四条 $a$ 的转移边: a a a a 然后你只要没有走完这四条边的 input 都是非法的,也就是出现 $b$ 就得到 dead state,遂: a a a a b b b a,b 然后考虑怎么设置 Final state。首先要注意,实际上我们的条件是两个条件的联立: 1. 长度 $\geq 4$ 2. 不能存在长度 $< 4$ 的substring 因此: a a a a b b b a,b a b 因此,那么这个题只要对称地画出另外一半即可。 a a a a b b b a,b a b b b b b b a a a a #### 设计 NFA 说实话,设计 NFA 应该是一个不会考的题型。因为合法的NFA应该是不唯一的。只要注意 NFA 的 transition function 是 partial function,然后也不需要考虑所谓的 input 顺序,因为,input string 只要在 NFA 找到一条路径到 final states 就行。简单给一个例子吧: 设计一个 NFA 接受:The language $1^{*}(001^+)^*$ with three states 0 0 1 1 #### Union and Concatenation of NFA 比较好说: - Concatenation 就是把 M1 和 M2 用一个 $\epsilon$ transition 连起来即可 - Union 就是把 M1 和 M2 的 initial states,用 $\epsilon$ transition 连到一个新的 state 即可。 ### 做题2: NFA2DFA **一句话:找闭包然后连接** 1. 首先你要找到 Initial state 的 $\epsilon-$closure,然后这些状态都是要加入DFA的initial state作为新的 DFA 的initial state的 2. 然后枚举每一条出边,先记下来到达的集合,再计算到达集合的 $\epsilon-$closure。**检查这个状态是否已经存在,如果不存在就建立一个新状态然后连接,否则直接连接。** **例外:加入 NFA 没有某一个符号的出边,那么在新的 DFA 中要建立一个 dead state 然后死循环**  比如说图中的 $\{q_3\}$ 由于没有 $a$ 的出边,在新的 DFA 中就要连接一个 dead state 并且设置死循环 ### 做题3:多个 DFA 的叉积 本质上,多个 DFA 的叉积等价于对 state sets 做叉积 + 对 transition function 做叉积。在此给出一个比较方便做题的方法:   ## Lec05: Regular Language To study the properties of regular languages, we define the regular operations. ### Definition Let $ A $ and $ B $ be languages. - **Union**: $ A \cup B = \{ x \mid x \in A \text{ or } x \in B \} $ - **Concatenation**: $ A \circ B = \{ xy \mid x \in A \text{ and } y \in B \} $ - **Star**: $ A^* = \{ x_1 x_2 \cdots x_k \mid k \geq 0 \text{ and each } x_i \in A \} $ Note: each $ x_i $ is a string in the language $ A $. And $ x_1 x_2 \cdots x_k $ is the concatenation of $ x_1, x_2, $ until $ x_k $. Equivalently, $ A^* = A^0 \cup A^1 \cup A^2 \cup \cdots $ ### Regular Expression 当时上课的时候没怎么认真听,觉得是个简单内容。后来发现这个东西会在 CFG 中间出现。遂导致掉线。不过本来CFG那节课我也没去,忘了是什么原因了。 - 正则语言可以递归构造。 - 正则表达式描述了正则语言中字符串的 common 模式(与机器无关)。 #### 定义(递归定义) 如果 $ R $ 满足以下条件,则 $ R $ 是字母表 $ \Sigma $ 上的正则表达式: - **基础情况** - $ a $,其中 $ a \in \Sigma $, - $ \varepsilon $,或 - $ \emptyset $ - **递归情况** - $ (R_1 \cup R_2) $,其中 $ R_1 $ 和 $ R_2 $ 是正则表达式, - $ (R_1 \circ R_2) $,其中 $ R_1 $ 和 $ R_2 $ 是正则表达式,或 - $ (R_1^*) $,其中 $ R_1 $ 是正则表达式。 ### Languages Defined by Regular Expression 一种 language 的 regular expression 展示了该 language 中所有string的共同模式。因此, #### 定义 设 $ R $ 是一个正则表达式。由 $ R $ 定义的语言 $ L(R) $ 为: - **基础情况**: - $ L(\emptyset) = \emptyset $ - $ L(\varepsilon) = \{ \varepsilon \} $ - $ \forall a \in \Sigma $,$ L(a) = \{ a \} $ - **递归情况**: - 如果 $ R = R_1 \cup R_2 $,那么 $ L(R_1 \cup R_2) = L(R_1) \cup L(R_2) $ - 如果 $ R = R_1 \circ R_2 $,那么 $ L(R_1 \circ R_2) = L(R_1) \circ L(R_2) $ - 如果 $ R = R_1^* $,那么 $ L(R_1^*) = (L(R_1))^* $ ### 做题4: 证明 Languages 的等价性(or 不等价) 挖坑待填,其实是不会 ### 做题6: NFA2Regular Expression 说白了,课件给的代码就是Floyd。相当于你的转移有两种: 1. $i \to k \to j$ 2. $k \to k$ 走自环 所以,要消除 $k$ 这个中间点,连成 $i \to k* \to j$ 即可。 实操一个比较好的办法是弄一个“超级源点”和“超级汇点” (当然不是网络流),然后每次记录 in 和 out (相当于枚举 $k$)。见 assignment 1 Q5。这里给出两个更难一点的例子 #### Example 1 1 2 s 1 2 t s 1 t b b a a a b b a a | ba*b ba* 比如这里的步骤是消除 2,那么画表(入度和出度): | in | Out | Edge | | ---- | ---- | ------------------------ | | 1 | t | (1 -> t): ba* | | | 1 | (1 -> 1): $a \cup ba^*b$ | #### Example 2 1 2 3 1 2 3 t1 t2 1 3 t1 t2 a,b a b b a a a,b b b a (a|b)a*b a ba*b 最后的结果显然是一个 union 形式的 NFA ## Lec 06: Pumping Lemma (包含 Context-Free Language 版本) 尝试策清楚,不一定对。不过一定会保证做题是对的。 ### 正确性证明 x y z 抄一下定义: If $A$ is a regular language, then there is a positive constant $p$ such that every string $w \in A$ of length at least $p$ can be written as $w = xyz$ satisfying the following conditions: - $\forall i \geq 0, xy^iz \in A$ - $|y| > 0$ and - $|xy| \leq p$ 其中 $p$ 是 pumping length 想一下为什么是对的。 1. 首先 regular language 一定是一个可以被 DFA 或者 NFA 识别的 language。所以我们对于这个 $A$ 是一定可以构造一个 DFA/NFA 来识别的。为了方便,以下讨论 DFA。 2. 假设 $n$ 是这个 DFA 的 state 的数量 3. 假设 $w \in L$ 并且 $|w| \geq n$ 4. **在这个自动机读入 $w$ 的前 $n$ 个字符后一定有一个状态达到过两次** 感觉这里是要详细说明一下的,如果不搞懂的话后面非常不好懂。$|w| = 0$ 的情形先不讨论了,直接看 $|w| \geq 1$  5. 所以就是说,必然存在一个 state 被重复走了。对应上面的 $y$ ### 做题 5: 证明一个 Language 不是 regular language **反证法证明** :套路大概如下: 1. 假设要证明的 language 是 regular language 2. $n$ 是未知的 3. $w$ 可以在满足 $w \in L$ 和 $|w| \geq n$ 的条件下自由选择 4. $x, y, z$ 也是未知的 5. 找到一个 $k$ 使得 $xy^kz \not\in L$ 还是非常抽象,来看一些例子。**见另外一个文档。** ### 证明 Language type 方法的总结 给定一个 language $L$ - To prove $L$ is regular - construct a DFA/NFA - To prove $L$ is not regular - Use pumping lemma (For Reg) - To prove $L$ is CFG - construct PDA - To prove $L$ is not CFG - Pumping lemma (For CF) - Lec 8: P? $L = \{a^nb^nc^n| n \geq 0\}$ is not CF Loading... ## Lec 02: Math 好像是一些概念,先放点重要的 ### Constructive Proof **规范步骤:** 1. Used to prove a predicate with existential quantifiers, *i.e.* $\exist x, P(x)$ 2. First, construct an object $x$ 3. Second, prove $P(x)$ is true ## Contradiction Proof 懒得写了,大概就是: 1. 写一个命题 $\exist x, P(x)$ 2. 然后给出逆否命题 $\exist \neg x$,并且证明 $P(\neg x)$ 为真 3. 自然得到 $x$ 为假 ### Induction 要证明 $\forall x \in \mathbb{N}, P(x)$,一句话:**一般归纳法只要 $k \to k+1$ 就行,但是 strong induction 要求** $1 \land 2 \land 3 \land \dots \land k \to k + 1$ ### Cardinality (范数) 首先抄一下定义:   证明 **Countable/Uncountable** 的方法主要有两个方法 1. Construct a bijection: $f: A \to \mathbb{N}$ **核心在于 Bijection** 1. 可以是一个函数,比如你要弄到 $(0,1)$ 就可以用 sigmoid 或者其他 activation function;你要证明 $[0, 10]$ 是 uncountable 的话,**即可以说明其 subset 不可数,亦可以写一个 $f(x) = \frac{x}{10}$ 之类的** 2. 也可以是一个可以 map to $\mathbb{N}$ 的遍历顺序 - 如果是一个形如 $(x_i, y_i)$ 这样的二元组要给一个遍历顺序的话,可以构造 zig-zag 2. 否则的话就需要用 Diagonal Proof 了,说实话这个比较唐。相当于你要给出一个遍历表,然后想办法构造一个不存在于表中的元素来说明你要证明的集合 uncountable. ## Lec 03/04: (Non-)Finite Automata 定义:需要包含一下元素 5 tuple $(Q, \Sigma, \delta, q_0, F)$ where: - $Q$ is a finite set of states - $\Sigma$ is a finite set, called the alphabet (set of input symbols) - $\delta$: $Q \times \Sigma \to Q$ is the transition function - $q_0 \in Q$ is the start (initial) state - $F \subseteq Q$ is the set of final (accept) states ### 做题1:设计 DFA / NFA #### 类型1: 数量型 这类是比较简单的题型。**Solution: 设计足够的转移边来满足数量匹配即可。** 比如说: 1.  2.  #### 类型2: 后缀(子串)匹配型 说白了,就是 KMP。想一下,KMP 做的事情是匹配一个真前缀和真后缀是吧。那么假设我们已经有了一个匹配所有合法串的自动机,那么现在这个自动机要判定一个新的串是否合法,可以把 initial state 当作构造串的分隔符(也就是吧新输入的串当作后缀,自动机里的串当作前缀)。那么这个自动机的状态就是要设计成匹配所有长度的后缀的状态。 感觉说的比较抽象。下面来点例子:  #### 类型3: 匹配带条件后缀(子串)型 一个例子: > {w|w contains no runs of length less than four}. A run in a string is a substring of length at least one and consisting entirely of the same symbol. For example, abbbaab has four runs: a, bbb, aa, b. 做这个不要慌,先化简一下问题。假如我们现在要搞一个DFA来匹配不包含长度 $\leq 4$ 的全由 $a$ 组成的子串的串。那么很显然构造的DFA至少要有四条 $a$ 的转移边: <?xml version="1.0" standalone="no"?> <!DOCTYPE svg PUBLIC "-//W3C//DTD SVG 1.1//EN" "https://www.w3.org/Graphics/SVG/1.1/DTD/svg11.dtd"> <svg width="400" height="160" version="1.1" xmlns="http://www.w3.org/2000/svg"> <g transform="scale(0.6)"> <ellipse stroke="black" stroke-width="1" fill="none" cx="85.5" cy="220.5" rx="30" ry="30"/> <ellipse stroke="black" stroke-width="1" fill="none" cx="199.5" cy="220.5" rx="30" ry="30"/> <ellipse stroke="black" stroke-width="1" fill="none" cx="309.5" cy="220.5" rx="30" ry="30"/> <ellipse stroke="black" stroke-width="1" fill="none" cx="419.5" cy="220.5" rx="30" ry="30"/> <ellipse stroke="black" stroke-width="1" fill="none" cx="527.5" cy="220.5" rx="30" ry="30"/> <polygon stroke="black" stroke-width="1" points="115.5,220.5 169.5,220.5"/> <polygon fill="black" stroke-width="1" points="169.5,220.5 161.5,215.5 161.5,225.5"/> <text x="137.5" y="241.5" font-family="Times New Roman" font-size="20">a</text> <polygon stroke="black" stroke-width="1" points="229.5,220.5 279.5,220.5"/> <polygon fill="black" stroke-width="1" points="279.5,220.5 271.5,215.5 271.5,225.5"/> <text x="249.5" y="241.5" font-family="Times New Roman" font-size="20">a</text> <polygon stroke="black" stroke-width="1" points="339.5,220.5 389.5,220.5"/> <polygon fill="black" stroke-width="1" points="389.5,220.5 381.5,215.5 381.5,225.5"/> <text x="359.5" y="241.5" font-family="Times New Roman" font-size="20">a</text> <polygon stroke="black" stroke-width="1" points="449.5,220.5 497.5,220.5"/> <polygon fill="black" stroke-width="1" points="497.5,220.5 489.5,215.5 489.5,225.5"/> <text x="468.5" y="241.5" font-family="Times New Roman" font-size="20">a</text> </g> </svg> 然后你只要没有走完这四条边的 input 都是非法的,也就是出现 $b$ 就得到 dead state,遂: <?xml version="1.0" standalone="no"?> <!DOCTYPE svg PUBLIC "-//W3C//DTD SVG 1.1//EN" "https://www.w3.org/Graphics/SVG/1.1/DTD/svg11.dtd"> <?xml version="1.0" standalone="no"?> <!DOCTYPE svg PUBLIC "-//W3C//DTD SVG 1.1//EN" "https://www.w3.org/Graphics/SVG/1.1/DTD/svg11.dtd"> <svg width="800" height="600" version="1.1" xmlns="http://www.w3.org/2000/svg"> <ellipse stroke="black" stroke-width="1" fill="none" cx="85.5" cy="220.5" rx="30" ry="30"/> <ellipse stroke="black" stroke-width="1" fill="none" cx="199.5" cy="220.5" rx="30" ry="30"/> <ellipse stroke="black" stroke-width="1" fill="none" cx="309.5" cy="220.5" rx="30" ry="30"/> <ellipse stroke="black" stroke-width="1" fill="none" cx="419.5" cy="220.5" rx="30" ry="30"/> <ellipse stroke="black" stroke-width="1" fill="none" cx="527.5" cy="220.5" rx="30" ry="30"/> <ellipse stroke="black" stroke-width="1" fill="none" cx="309.5" cy="378.5" rx="30" ry="30"/> <polygon stroke="black" stroke-width="1" points="115.5,220.5 169.5,220.5"/> <polygon fill="black" stroke-width="1" points="169.5,220.5 161.5,215.5 161.5,225.5"/> <text x="137.5" y="241.5" font-family="Times New Roman" font-size="20">a</text> <polygon stroke="black" stroke-width="1" points="229.5,220.5 279.5,220.5"/> <polygon fill="black" stroke-width="1" points="279.5,220.5 271.5,215.5 271.5,225.5"/> <text x="249.5" y="241.5" font-family="Times New Roman" font-size="20">a</text> <polygon stroke="black" stroke-width="1" points="339.5,220.5 389.5,220.5"/> <polygon fill="black" stroke-width="1" points="389.5,220.5 381.5,215.5 381.5,225.5"/> <text x="359.5" y="241.5" font-family="Times New Roman" font-size="20">a</text> <polygon stroke="black" stroke-width="1" points="449.5,220.5 497.5,220.5"/> <polygon fill="black" stroke-width="1" points="497.5,220.5 489.5,215.5 489.5,225.5"/> <text x="468.5" y="241.5" font-family="Times New Roman" font-size="20">a</text> <polygon stroke="black" stroke-width="1" points="216.641,245.121 292.359,353.879"/> <polygon fill="black" stroke-width="1" points="292.359,353.879 291.891,344.457 283.685,350.17"/> <text x="238.5" y="319.5" font-family="Times New Roman" font-size="20">b</text> <polygon stroke="black" stroke-width="1" points="309.5,250.5 309.5,348.5"/> <polygon fill="black" stroke-width="1" points="309.5,348.5 314.5,340.5 304.5,340.5"/> <text x="294.5" y="305.5" font-family="Times New Roman" font-size="20">b</text> <polygon stroke="black" stroke-width="1" points="402.359,245.121 326.641,353.879"/> <polygon fill="black" stroke-width="1" points="326.641,353.879 335.315,350.17 327.109,344.457"/> <text x="370.5" y="319.5" font-family="Times New Roman" font-size="20">b</text> <path stroke="black" stroke-width="1" fill="none" d="M 322.725,405.297 A 22.5,22.5 0 1 1 296.275,405.297"/> <text x="297.5" y="467.5" font-family="Times New Roman" font-size="20">a,b</text> <polygon fill="black" stroke-width="1" points="296.275,405.297 287.527,408.83 295.618,414.708"/> </svg> 然后考虑怎么设置 Final state。首先要注意,实际上我们的条件是两个条件的联立: 1. 长度 $\geq 4$ 2. 不能存在长度 $< 4$ 的substring 因此: <?xml version="1.0" standalone="no"?> <!DOCTYPE svg PUBLIC "-//W3C//DTD SVG 1.1//EN" "https://www.w3.org/Graphics/SVG/1.1/DTD/svg11.dtd"> <svg width="800" height="600" version="1.1" xmlns="http://www.w3.org/2000/svg"> <ellipse stroke="black" stroke-width="1" fill="none" cx="85.5" cy="220.5" rx="30" ry="30"/> <ellipse stroke="black" stroke-width="1" fill="none" cx="199.5" cy="220.5" rx="30" ry="30"/> <ellipse stroke="black" stroke-width="1" fill="none" cx="309.5" cy="220.5" rx="30" ry="30"/> <ellipse stroke="black" stroke-width="1" fill="none" cx="419.5" cy="220.5" rx="30" ry="30"/> <ellipse stroke="black" stroke-width="1" fill="none" cx="528.5" cy="220.5" rx="30" ry="30"/> <ellipse stroke="black" stroke-width="1" fill="none" cx="528.5" cy="220.5" rx="24" ry="24"/> <ellipse stroke="black" stroke-width="1" fill="none" cx="309.5" cy="378.5" rx="30" ry="30"/> <polygon stroke="black" stroke-width="1" points="115.5,220.5 169.5,220.5"/> <polygon fill="black" stroke-width="1" points="169.5,220.5 161.5,215.5 161.5,225.5"/> <text x="137.5" y="241.5" font-family="Times New Roman" font-size="20">a</text> <polygon stroke="black" stroke-width="1" points="229.5,220.5 279.5,220.5"/> <polygon fill="black" stroke-width="1" points="279.5,220.5 271.5,215.5 271.5,225.5"/> <text x="249.5" y="241.5" font-family="Times New Roman" font-size="20">a</text> <polygon stroke="black" stroke-width="1" points="339.5,220.5 389.5,220.5"/> <polygon fill="black" stroke-width="1" points="389.5,220.5 381.5,215.5 381.5,225.5"/> <text x="359.5" y="241.5" font-family="Times New Roman" font-size="20">a</text> <polygon stroke="black" stroke-width="1" points="449.5,220.5 498.5,220.5"/> <polygon fill="black" stroke-width="1" points="498.5,220.5 490.5,215.5 490.5,225.5"/> <text x="468.5" y="241.5" font-family="Times New Roman" font-size="20">a</text> <polygon stroke="black" stroke-width="1" points="216.641,245.121 292.359,353.879"/> <polygon fill="black" stroke-width="1" points="292.359,353.879 291.891,344.457 283.685,350.17"/> <text x="238.5" y="319.5" font-family="Times New Roman" font-size="20">b</text> <polygon stroke="black" stroke-width="1" points="309.5,250.5 309.5,348.5"/> <polygon fill="black" stroke-width="1" points="309.5,348.5 314.5,340.5 304.5,340.5"/> <text x="294.5" y="305.5" font-family="Times New Roman" font-size="20">b</text> <polygon stroke="black" stroke-width="1" points="402.359,245.121 326.641,353.879"/> <polygon fill="black" stroke-width="1" points="326.641,353.879 335.315,350.17 327.109,344.457"/> <text x="370.5" y="319.5" font-family="Times New Roman" font-size="20">b</text> <path stroke="black" stroke-width="1" fill="none" d="M 322.725,405.297 A 22.5,22.5 0 1 1 296.275,405.297"/> <text x="297.5" y="467.5" font-family="Times New Roman" font-size="20">a,b</text> <polygon fill="black" stroke-width="1" points="296.275,405.297 287.527,408.83 295.618,414.708"/> <path stroke="black" stroke-width="1" fill="none" d="M 555.297,207.275 A 22.5,22.5 0 1 1 555.297,233.725"/> <text x="601.5" y="226.5" font-family="Times New Roman" font-size="20">a</text> <polygon fill="black" stroke-width="1" points="555.297,233.725 558.83,242.473 564.708,234.382"/> <path stroke="black" stroke-width="1" fill="none" d="M 111.359,205.305 A 411.959,411.959 0 0 1 502.641,205.305"/> <polygon fill="black" stroke-width="1" points="111.359,205.305 120.774,205.906 116.025,197.105"/> <text x="301.5" y="146.5" font-family="Times New Roman" font-size="20">b</text> </svg> 因此,那么这个题只要对称地画出另外一半即可。 <?xml version="1.0" standalone="no"?> <!DOCTYPE svg PUBLIC "-//W3C//DTD SVG 1.1//EN" "https://www.w3.org/Graphics/SVG/1.1/DTD/svg11.dtd"> <svg width="900" height="600" version="1.1" xmlns="http://www.w3.org/2000/svg"> <ellipse stroke="black" stroke-width="1" fill="none" cx="436.5" cy="109.5" rx="30" ry="30"/> <ellipse stroke="black" stroke-width="1" fill="none" cx="32.5" cy="220.5" rx="30" ry="30"/> <ellipse stroke="black" stroke-width="1" fill="none" cx="165.5" cy="220.5" rx="30" ry="30"/> <ellipse stroke="black" stroke-width="1" fill="none" cx="289.5" cy="220.5" rx="30" ry="30"/> <ellipse stroke="black" stroke-width="1" fill="none" cx="396.5" cy="220.5" rx="30" ry="30"/> <ellipse stroke="black" stroke-width="1" fill="none" cx="396.5" cy="220.5" rx="24" ry="24"/> <ellipse stroke="black" stroke-width="1" fill="none" cx="436.5" cy="400.5" rx="30" ry="30"/> <ellipse stroke="black" stroke-width="1" fill="none" cx="806.5" cy="220.5" rx="30" ry="30"/> <ellipse stroke="black" stroke-width="1" fill="none" cx="684.5" cy="220.5" rx="30" ry="30"/> <ellipse stroke="black" stroke-width="1" fill="none" cx="580.5" cy="220.5" rx="30" ry="30"/> <ellipse stroke="black" stroke-width="1" fill="none" cx="481.5" cy="220.5" rx="30" ry="30"/> <ellipse stroke="black" stroke-width="1" fill="none" cx="481.5" cy="220.5" rx="24" ry="24"/> <polygon stroke="black" stroke-width="1" points="407.572,117.448 61.428,212.552"/> <polygon fill="black" stroke-width="1" points="61.428,212.552 70.467,215.254 67.817,205.611"/> <text x="221.5" y="155.5" font-family="Times New Roman" font-size="20">a</text> <polygon stroke="black" stroke-width="1" points="62.5,220.5 135.5,220.5"/> <polygon fill="black" stroke-width="1" points="135.5,220.5 127.5,215.5 127.5,225.5"/> <text x="93.5" y="241.5" font-family="Times New Roman" font-size="20">a</text> <polygon stroke="black" stroke-width="1" points="195.5,220.5 259.5,220.5"/> <polygon fill="black" stroke-width="1" points="259.5,220.5 251.5,215.5 251.5,225.5"/> <text x="222.5" y="241.5" font-family="Times New Roman" font-size="20">a</text> <polygon stroke="black" stroke-width="1" points="319.5,220.5 366.5,220.5"/> <polygon fill="black" stroke-width="1" points="366.5,220.5 358.5,215.5 358.5,225.5"/> <text x="337.5" y="241.5" font-family="Times New Roman" font-size="20">a</text> <polygon stroke="black" stroke-width="1" points="59.903,232.709 409.097,388.291"/> <polygon fill="black" stroke-width="1" points="409.097,388.291 403.824,380.468 399.754,389.602"/> <text x="219.5" y="331.5" font-family="Times New Roman" font-size="20">b</text> <polygon stroke="black" stroke-width="1" points="190.49,237.098 411.51,383.902"/> <polygon fill="black" stroke-width="1" points="411.51,383.902 407.613,375.31 402.08,383.64"/> <text x="285.5" y="331.5" font-family="Times New Roman" font-size="20">b</text> <polygon stroke="black" stroke-width="1" points="308.476,243.736 417.524,377.264"/> <polygon fill="black" stroke-width="1" points="417.524,377.264 416.336,367.905 408.591,374.23"/> <text x="347.5" y="330.5" font-family="Times New Roman" font-size="20">b</text> <path stroke="black" stroke-width="1" fill="none" d="M 449.725,427.297 A 22.5,22.5 0 1 1 423.275,427.297"/> <text x="424.5" y="489.5" font-family="Times New Roman" font-size="20">a,b</text> <polygon fill="black" stroke-width="1" points="423.275,427.297 414.527,430.83 422.618,436.708"/> <path stroke="black" stroke-width="1" fill="none" d="M 414.904,244.043 A 22.5,22.5 0 1 1 389.007,249.428"/> <text x="411.5" y="308.5" font-family="Times New Roman" font-size="20">a</text> <polygon fill="black" stroke-width="1" points="389.007,249.428 381.162,254.668 390.28,258.776"/> <polygon stroke="black" stroke-width="1" points="406.671,192.277 426.329,137.723"/> <polygon fill="black" stroke-width="1" points="426.329,137.723 418.913,143.555 428.321,146.945"/> <text x="398.5" y="163.5" font-family="Times New Roman" font-size="20">b</text> <polygon stroke="black" stroke-width="1" points="465.235,118.12 777.765,211.88"/> <polygon fill="black" stroke-width="1" points="777.765,211.88 771.539,204.792 768.666,214.37"/> <text x="624.5" y="155.5" font-family="Times New Roman" font-size="20">b</text> <polygon stroke="black" stroke-width="1" points="776.5,220.5 714.5,220.5"/> <polygon fill="black" stroke-width="1" points="714.5,220.5 722.5,225.5 722.5,215.5"/> <text x="740.5" y="241.5" font-family="Times New Roman" font-size="20">b</text> <polygon stroke="black" stroke-width="1" points="654.5,220.5 610.5,220.5"/> <polygon fill="black" stroke-width="1" points="610.5,220.5 618.5,225.5 618.5,215.5"/> <text x="627.5" y="241.5" font-family="Times New Roman" font-size="20">b</text> <path stroke="black" stroke-width="1" fill="none" d="M 487.071,249.859 A 22.5,22.5 0 1 1 461.586,242.78"/> <text x="450.5" y="307.5" font-family="Times New Roman" font-size="20">b</text> <polygon fill="black" stroke-width="1" points="461.586,242.78 452.212,243.843 458.434,251.672"/> <polygon stroke="black" stroke-width="1" points="550.5,220.5 511.5,220.5"/> <polygon fill="black" stroke-width="1" points="511.5,220.5 519.5,225.5 519.5,215.5"/> <text x="525.5" y="241.5" font-family="Times New Roman" font-size="20">b</text> <polygon stroke="black" stroke-width="1" points="470.229,192.698 447.771,137.302"/> <polygon fill="black" stroke-width="1" points="447.771,137.302 446.143,146.595 455.41,142.838"/> <text x="466.5" y="162.5" font-family="Times New Roman" font-size="20">a</text> <polygon stroke="black" stroke-width="1" points="660.221,238.122 460.779,382.878"/> <polygon fill="black" stroke-width="1" points="460.779,382.878 470.19,382.225 464.316,374.132"/> <text x="565.5" y="331.5" font-family="Times New Roman" font-size="20">a</text> <polygon stroke="black" stroke-width="1" points="779.523,233.624 463.477,387.376"/> <polygon fill="black" stroke-width="1" points="463.477,387.376 472.858,388.372 468.484,379.38"/> <text x="626.5" y="331.5" font-family="Times New Roman" font-size="20">a</text> <polygon stroke="black" stroke-width="1" points="561.759,243.926 455.241,377.074"/> <polygon fill="black" stroke-width="1" points="455.241,377.074 464.143,373.95 456.334,367.704"/> <text x="514.5" y="330.5" font-family="Times New Roman" font-size="20">a</text> </svg> #### 设计 NFA 说实话,设计 NFA 应该是一个不会考的题型。因为合法的NFA应该是不唯一的。只要注意 NFA 的 transition function 是 partial function,然后也不需要考虑所谓的 input 顺序,因为,input string 只要在 NFA 找到一条路径到 final states 就行。简单给一个例子吧: 设计一个 NFA 接受:The language $1^{*}(001^+)^*$ with three states <?xml version="1.0" standalone="no"?> <!DOCTYPE svg PUBLIC "-//W3C//DTD SVG 1.1//EN" "https://www.w3.org/Graphics/SVG/1.1/DTD/svg11.dtd"> <svg width="800" height="600" version="1.1" xmlns="http://www.w3.org/2000/svg"> <ellipse stroke="black" stroke-width="1" fill="none" cx="193.5" cy="249.5" rx="30" ry="30"/> <ellipse stroke="black" stroke-width="1" fill="none" cx="193.5" cy="249.5" rx="24" ry="24"/> <ellipse stroke="black" stroke-width="1" fill="none" cx="321.5" cy="249.5" rx="30" ry="30"/> <ellipse stroke="black" stroke-width="1" fill="none" cx="445.5" cy="249.5" rx="30" ry="30"/> <polygon stroke="black" stroke-width="1" points="223.5,249.5 291.5,249.5"/> <polygon fill="black" stroke-width="1" points="291.5,249.5 283.5,244.5 283.5,254.5"/> <text x="252.5" y="270.5" font-family="Times New Roman" font-size="20">0</text> <polygon stroke="black" stroke-width="1" points="351.5,249.5 415.5,249.5"/> <polygon fill="black" stroke-width="1" points="415.5,249.5 407.5,244.5 407.5,254.5"/> <text x="378.5" y="270.5" font-family="Times New Roman" font-size="20">0</text> <path stroke="black" stroke-width="1" fill="none" d="M 217.149,231.094 A 186.5,186.5 0 0 1 421.851,231.094"/> <polygon fill="black" stroke-width="1" points="217.149,231.094 226.581,230.884 221.093,222.524"/> <text x="314.5" y="191.5" font-family="Times New Roman" font-size="20">1</text> <path stroke="black" stroke-width="1" fill="none" d="M 166.703,262.725 A 22.5,22.5 0 1 1 166.703,236.275"/> <text x="111.5" y="255.5" font-family="Times New Roman" font-size="20">1</text> <polygon fill="black" stroke-width="1" points="166.703,236.275 163.17,227.527 157.292,235.618"/> </svg> #### Union and Concatenation of NFA 比较好说: - Concatenation 就是把 M1 和 M2 用一个 $\epsilon$ transition 连起来即可 - Union 就是把 M1 和 M2 的 initial states,用 $\epsilon$ transition 连到一个新的 state 即可。 ### 做题2: NFA2DFA **一句话:找闭包然后连接** 1. 首先你要找到 Initial state 的 $\epsilon-$closure,然后这些状态都是要加入DFA的initial state作为新的 DFA 的initial state的 2. 然后枚举每一条出边,先记下来到达的集合,再计算到达集合的 $\epsilon-$closure。**检查这个状态是否已经存在,如果不存在就建立一个新状态然后连接,否则直接连接。** **例外:加入 NFA 没有某一个符号的出边,那么在新的 DFA 中要建立一个 dead state 然后死循环**  比如说图中的 $\{q_3\}$ 由于没有 $a$ 的出边,在新的 DFA 中就要连接一个 dead state 并且设置死循环 ### 做题3:多个 DFA 的叉积 本质上,多个 DFA 的叉积等价于对 state sets 做叉积 + 对 transition function 做叉积。在此给出一个比较方便做题的方法:   ## Lec05: Regular Language To study the properties of regular languages, we define the regular operations. ### Definition Let $ A $ and $ B $ be languages. - **Union**: $ A \cup B = \{ x \mid x \in A \text{ or } x \in B \} $ - **Concatenation**: $ A \circ B = \{ xy \mid x \in A \text{ and } y \in B \} $ - **Star**: $ A^* = \{ x_1 x_2 \cdots x_k \mid k \geq 0 \text{ and each } x_i \in A \} $ Note: each $ x_i $ is a string in the language $ A $. And $ x_1 x_2 \cdots x_k $ is the concatenation of $ x_1, x_2, $ until $ x_k $. Equivalently, $ A^* = A^0 \cup A^1 \cup A^2 \cup \cdots $ ### Regular Expression 当时上课的时候没怎么认真听,觉得是个简单内容。后来发现这个东西会在 CFG 中间出现。遂导致掉线。不过本来CFG那节课我也没去,忘了是什么原因了。 - 正则语言可以递归构造。 - 正则表达式描述了正则语言中字符串的 common 模式(与机器无关)。 #### 定义(递归定义) 如果 $ R $ 满足以下条件,则 $ R $ 是字母表 $ \Sigma $ 上的正则表达式: - **基础情况** - $ a $,其中 $ a \in \Sigma $, - $ \varepsilon $,或 - $ \emptyset $ - **递归情况** - $ (R_1 \cup R_2) $,其中 $ R_1 $ 和 $ R_2 $ 是正则表达式, - $ (R_1 \circ R_2) $,其中 $ R_1 $ 和 $ R_2 $ 是正则表达式,或 - $ (R_1^*) $,其中 $ R_1 $ 是正则表达式。 ### Languages Defined by Regular Expression 一种 language 的 regular expression 展示了该 language 中所有string的共同模式。因此, #### 定义 设 $ R $ 是一个正则表达式。由 $ R $ 定义的语言 $ L(R) $ 为: - **基础情况**: - $ L(\emptyset) = \emptyset $ - $ L(\varepsilon) = \{ \varepsilon \} $ - $ \forall a \in \Sigma $,$ L(a) = \{ a \} $ - **递归情况**: - 如果 $ R = R_1 \cup R_2 $,那么 $ L(R_1 \cup R_2) = L(R_1) \cup L(R_2) $ - 如果 $ R = R_1 \circ R_2 $,那么 $ L(R_1 \circ R_2) = L(R_1) \circ L(R_2) $ - 如果 $ R = R_1^* $,那么 $ L(R_1^*) = (L(R_1))^* $ ### 做题4: 证明 Languages 的等价性(or 不等价) 挖坑待填,其实是不会 ### 做题6: NFA2Regular Expression 说白了,课件给的代码就是Floyd。相当于你的转移有两种: 1. $i \to k \to j$ 2. $k \to k$ 走自环 所以,要消除 $k$ 这个中间点,连成 $i \to k* \to j$ 即可。 实操一个比较好的办法是弄一个“超级源点”和“超级汇点” (当然不是网络流),然后每次记录 in 和 out (相当于枚举 $k$)。见 assignment 1 Q5。这里给出两个更难一点的例子 #### Example 1 <?xml version="1.0" standalone="no"?> <!DOCTYPE svg PUBLIC "-//W3C//DTD SVG 1.1//EN" "https://www.w3.org/Graphics/SVG/1.1/DTD/svg11.dtd"> <?xml version="1.0" standalone="no"?> <!DOCTYPE svg PUBLIC "-//W3C//DTD SVG 1.1//EN" "https://www.w3.org/Graphics/SVG/1.1/DTD/svg11.dtd"> <?xml version="1.0" standalone="no"?> <!DOCTYPE svg PUBLIC "-//W3C//DTD SVG 1.1//EN" "https://www.w3.org/Graphics/SVG/1.1/DTD/svg11.dtd"> <svg width="800" height="600" version="1.1" xmlns="http://www.w3.org/2000/svg"> <ellipse stroke="black" stroke-width="1" fill="none" cx="105.5" cy="100.5" rx="30" ry="30"/> <text x="100.5" y="106.5" font-family="Times New Roman" font-size="20">1</text> <ellipse stroke="black" stroke-width="1" fill="none" cx="268.5" cy="100.5" rx="30" ry="30"/> <text x="263.5" y="106.5" font-family="Times New Roman" font-size="20">2</text> <ellipse stroke="black" stroke-width="1" fill="none" cx="268.5" cy="100.5" rx="24" ry="24"/> <ellipse stroke="black" stroke-width="1" fill="none" cx="95.5" cy="184.5" rx="30" ry="30"/> <text x="91.5" y="190.5" font-family="Times New Roman" font-size="20">s</text> <ellipse stroke="black" stroke-width="1" fill="none" cx="95.5" cy="281.5" rx="30" ry="30"/> <text x="90.5" y="287.5" font-family="Times New Roman" font-size="20">1</text> <ellipse stroke="black" stroke-width="1" fill="none" cx="268.5" cy="281.5" rx="30" ry="30"/> <text x="263.5" y="287.5" font-family="Times New Roman" font-size="20">2</text> <ellipse stroke="black" stroke-width="1" fill="none" cx="268.5" cy="184.5" rx="30" ry="30"/> <text x="265.5" y="190.5" font-family="Times New Roman" font-size="20">t</text> <ellipse stroke="black" stroke-width="1" fill="none" cx="96.5" cy="366.5" rx="30" ry="30"/> <text x="92.5" y="372.5" font-family="Times New Roman" font-size="20">s</text> <ellipse stroke="black" stroke-width="1" fill="none" cx="96.5" cy="472.5" rx="30" ry="30"/> <text x="91.5" y="478.5" font-family="Times New Roman" font-size="20">1</text> <ellipse stroke="black" stroke-width="1" fill="none" cx="290.5" cy="472.5" rx="30" ry="30"/> <text x="287.5" y="478.5" font-family="Times New Roman" font-size="20">t</text> <path stroke="black" stroke-width="1" fill="none" d="M 134.486,92.829 A 262.336,262.336 0 0 1 239.514,92.829"/> <polygon fill="black" stroke-width="1" points="239.514,92.829 232.677,86.329 230.675,96.126"/> <text x="181.5" y="78.5" font-family="Times New Roman" font-size="20">b</text> <path stroke="black" stroke-width="1" fill="none" d="M 240.031,109.884 A 215.402,215.402 0 0 1 133.969,109.884"/> <polygon fill="black" stroke-width="1" points="133.969,109.884 140.492,116.699 142.954,107.007"/> <text x="181.5" y="137.5" font-family="Times New Roman" font-size="20">b</text> <path stroke="black" stroke-width="1" fill="none" d="M 295.297,87.275 A 22.5,22.5 0 1 1 295.297,113.725"/> <text x="341.5" y="106.5" font-family="Times New Roman" font-size="20">a</text> <polygon fill="black" stroke-width="1" points="295.297,113.725 298.83,122.473 304.708,114.382"/> <path stroke="black" stroke-width="1" fill="none" d="M 78.703,113.725 A 22.5,22.5 0 1 1 78.703,87.275"/> <text x="22.5" y="106.5" font-family="Times New Roman" font-size="20">a</text> <polygon fill="black" stroke-width="1" points="78.703,87.275 75.17,78.527 69.292,86.618"/> <polygon stroke="black" stroke-width="1" points="105.5,23.5 105.5,70.5"/> <polygon fill="black" stroke-width="1" points="105.5,70.5 110.5,62.5 100.5,62.5"/> <path stroke="black" stroke-width="1" fill="none" d="M 68.703,294.725 A 22.5,22.5 0 1 1 68.703,268.275"/> <text x="12.5" y="287.5" font-family="Times New Roman" font-size="20">a</text> <polygon fill="black" stroke-width="1" points="68.703,268.275 65.17,259.527 59.292,267.618"/> <polygon stroke="black" stroke-width="1" points="95.5,214.5 95.5,251.5"/> <polygon fill="black" stroke-width="1" points="95.5,251.5 100.5,243.5 90.5,243.5"/> <path stroke="black" stroke-width="1" fill="none" d="M 124.227,272.914 A 252.35,252.35 0 0 1 239.773,272.914"/> <polygon fill="black" stroke-width="1" points="239.773,272.914 233.13,266.215 230.841,275.95"/> <text x="176.5" y="257.5" font-family="Times New Roman" font-size="20">b</text> <path stroke="black" stroke-width="1" fill="none" d="M 239.292,288.299 A 317.485,317.485 0 0 1 124.708,288.299"/> <polygon fill="black" stroke-width="1" points="124.708,288.299 131.674,294.66 133.479,284.824"/> <text x="176.5" y="314.5" font-family="Times New Roman" font-size="20">b</text> <path stroke="black" stroke-width="1" fill="none" d="M 295.297,268.275 A 22.5,22.5 0 1 1 295.297,294.725"/> <text x="341.5" y="287.5" font-family="Times New Roman" font-size="20">a</text> <polygon fill="black" stroke-width="1" points="295.297,294.725 298.83,303.473 304.708,295.382"/> <polygon stroke="black" stroke-width="1" points="268.5,251.5 268.5,214.5"/> <polygon fill="black" stroke-width="1" points="268.5,214.5 263.5,222.5 273.5,222.5"/> <path stroke="black" stroke-width="1" fill="none" d="M 109.725,499.297 A 22.5,22.5 0 1 1 83.275,499.297"/> <text x="47.5" y="561.5" font-family="Times New Roman" font-size="20">a | ba*b</text> <polygon fill="black" stroke-width="1" points="83.275,499.297 74.527,502.83 82.618,508.708"/> <polygon stroke="black" stroke-width="1" points="96.5,396.5 96.5,442.5"/> <polygon fill="black" stroke-width="1" points="96.5,442.5 101.5,434.5 91.5,434.5"/> <polygon stroke="black" stroke-width="1" points="126.5,472.5 260.5,472.5"/> <polygon fill="black" stroke-width="1" points="260.5,472.5 252.5,467.5 252.5,477.5"/> <text x="178.5" y="493.5" font-family="Times New Roman" font-size="20">ba*</text> </svg> 比如这里的步骤是消除 2,那么画表(入度和出度): | in | Out | Edge | | ---- | ---- | ------------------------ | | 1 | t | (1 -> t): ba* | | | 1 | (1 -> 1): $a \cup ba^*b$ | #### Example 2 <?xml version="1.0" standalone="no"?> <!DOCTYPE svg PUBLIC "-//W3C//DTD SVG 1.1//EN" "https://www.w3.org/Graphics/SVG/1.1/DTD/svg11.dtd"> <svg width="800" height="600" version="1.1" xmlns="http://www.w3.org/2000/svg"> <ellipse stroke="black" stroke-width="1" fill="none" cx="81.5" cy="55.5" rx="30" ry="30"/> <text x="76.5" y="61.5" font-family="Times New Roman" font-size="20">1</text> <ellipse stroke="black" stroke-width="1" fill="none" cx="81.5" cy="55.5" rx="24" ry="24"/> <ellipse stroke="black" stroke-width="1" fill="none" cx="218.5" cy="55.5" rx="30" ry="30"/> <text x="213.5" y="61.5" font-family="Times New Roman" font-size="20">2</text> <ellipse stroke="black" stroke-width="1" fill="none" cx="149.5" cy="160.5" rx="30" ry="30"/> <text x="144.5" y="166.5" font-family="Times New Roman" font-size="20">3</text> <ellipse stroke="black" stroke-width="1" fill="none" cx="149.5" cy="160.5" rx="24" ry="24"/> <ellipse stroke="black" stroke-width="1" fill="none" cx="487.5" cy="55.5" rx="30" ry="30"/> <text x="482.5" y="61.5" font-family="Times New Roman" font-size="20">1</text> <ellipse stroke="black" stroke-width="1" fill="none" cx="625.5" cy="55.5" rx="30" ry="30"/> <text x="620.5" y="61.5" font-family="Times New Roman" font-size="20">2</text> <ellipse stroke="black" stroke-width="1" fill="none" cx="558.5" cy="166.5" rx="30" ry="30"/> <text x="553.5" y="172.5" font-family="Times New Roman" font-size="20">3</text> <ellipse stroke="black" stroke-width="1" fill="none" cx="435.5" cy="166.5" rx="30" ry="30"/> <text x="427.5" y="172.5" font-family="Times New Roman" font-size="20">t1</text> <ellipse stroke="black" stroke-width="1" fill="none" cx="435.5" cy="166.5" rx="24" ry="24"/> <ellipse stroke="black" stroke-width="1" fill="none" cx="694.5" cy="166.5" rx="30" ry="30"/> <text x="686.5" y="172.5" font-family="Times New Roman" font-size="20">t2</text> <ellipse stroke="black" stroke-width="1" fill="none" cx="694.5" cy="166.5" rx="24" ry="24"/> <ellipse stroke="black" stroke-width="1" fill="none" cx="89.5" cy="356.5" rx="30" ry="30"/> <text x="84.5" y="362.5" font-family="Times New Roman" font-size="20">1</text> <ellipse stroke="black" stroke-width="1" fill="none" cx="218.5" cy="446.5" rx="30" ry="30"/> <text x="213.5" y="452.5" font-family="Times New Roman" font-size="20">3</text> <ellipse stroke="black" stroke-width="1" fill="none" cx="89.5" cy="266.5" rx="30" ry="30"/> <text x="81.5" y="272.5" font-family="Times New Roman" font-size="20">t1</text> <ellipse stroke="black" stroke-width="1" fill="none" cx="89.5" cy="266.5" rx="24" ry="24"/> <ellipse stroke="black" stroke-width="1" fill="none" cx="338.5" cy="446.5" rx="30" ry="30"/> <text x="330.5" y="452.5" font-family="Times New Roman" font-size="20">t2</text> <ellipse stroke="black" stroke-width="1" fill="none" cx="338.5" cy="446.5" rx="24" ry="24"/> <polygon stroke="black" stroke-width="1" points="13.5,55.5 51.5,55.5"/> <polygon fill="black" stroke-width="1" points="51.5,55.5 43.5,50.5 43.5,60.5"/> <polygon stroke="black" stroke-width="1" points="111.5,55.5 188.5,55.5"/> <polygon fill="black" stroke-width="1" points="188.5,55.5 180.5,50.5 180.5,60.5"/> <text x="137.5" y="46.5" font-family="Times New Roman" font-size="20">a,b</text> <path stroke="black" stroke-width="1" fill="none" d="M 245.297,42.275 A 22.5,22.5 0 1 1 245.297,68.725"/> <text x="291.5" y="61.5" font-family="Times New Roman" font-size="20">a</text> <polygon fill="black" stroke-width="1" points="245.297,68.725 248.83,77.473 254.708,69.382"/> <path stroke="black" stroke-width="1" fill="none" d="M 160.535,132.625 A 237.616,237.616 0 0 1 197.292,76.69"/> <polygon fill="black" stroke-width="1" points="160.535,132.625 168.467,127.517 159.42,123.257"/> <text x="160.5" y="96.5" font-family="Times New Roman" font-size="20">b</text> <path stroke="black" stroke-width="1" fill="none" d="M 208.602,83.79 A 199.759,199.759 0 0 1 171.54,140.189"/> <polygon fill="black" stroke-width="1" points="208.602,83.79 200.819,89.121 209.983,93.123"/> <text x="198.5" y="132.5" font-family="Times New Roman" font-size="20">b</text> <polygon stroke="black" stroke-width="1" points="133.193,135.319 97.807,80.681"/> <polygon fill="black" stroke-width="1" points="97.807,80.681 97.959,90.113 106.353,84.678"/> <text x="99.5" y="127.5" font-family="Times New Roman" font-size="20">a</text> <polygon stroke="black" stroke-width="1" points="398.5,55.5 457.5,55.5"/> <polygon fill="black" stroke-width="1" points="457.5,55.5 449.5,50.5 449.5,60.5"/> <path stroke="black" stroke-width="1" fill="none" d="M 652.297,42.275 A 22.5,22.5 0 1 1 652.297,68.725"/> <text x="698.5" y="61.5" font-family="Times New Roman" font-size="20">a</text> <polygon fill="black" stroke-width="1" points="652.297,68.725 655.83,77.473 661.708,69.382"/> <polygon stroke="black" stroke-width="1" points="517.5,55.5 595.5,55.5"/> <polygon fill="black" stroke-width="1" points="595.5,55.5 587.5,50.5 587.5,60.5"/> <text x="544.5" y="46.5" font-family="Times New Roman" font-size="20">a,b</text> <path stroke="black" stroke-width="1" fill="none" d="M 568.733,138.317 A 259.397,259.397 0 0 1 605.331,77.686"/> <polygon fill="black" stroke-width="1" points="568.733,138.317 576.487,132.943 567.3,128.993"/> <text x="568.5" y="100.5" font-family="Times New Roman" font-size="20">b</text> <path stroke="black" stroke-width="1" fill="none" d="M 616.109,83.969 A 226.122,226.122 0 0 1 579.315,144.926"/> <polygon fill="black" stroke-width="1" points="616.109,83.969 608.471,89.506 617.739,93.261"/> <text x="606.5" y="134.5" font-family="Times New Roman" font-size="20">b</text> <polygon stroke="black" stroke-width="1" points="542.335,141.228 503.665,80.772"/> <polygon fill="black" stroke-width="1" points="503.665,80.772 503.764,90.206 512.188,84.817"/> <text x="506.5" y="130.5" font-family="Times New Roman" font-size="20">a</text> <polygon stroke="black" stroke-width="1" points="474.773,82.667 448.227,139.333"/> <polygon fill="black" stroke-width="1" points="448.227,139.333 456.148,134.21 447.093,129.968"/> <polygon stroke="black" stroke-width="1" points="588.5,166.5 664.5,166.5"/> <polygon fill="black" stroke-width="1" points="664.5,166.5 656.5,161.5 656.5,171.5"/> <path stroke="black" stroke-width="1" fill="none" d="M 191.288,433.891 A 366.693,366.693 0 0 1 110.728,377.686"/> <polygon fill="black" stroke-width="1" points="191.288,433.891 186.459,425.786 181.887,434.68"/> <text x="72.5" y="429.5" font-family="Times New Roman" font-size="20">(a|b)a*b</text> <path stroke="black" stroke-width="1" fill="none" d="M 117.531,367.143 A 263.376,263.376 0 0 1 198.834,423.866"/> <polygon fill="black" stroke-width="1" points="117.531,367.143 122.798,374.97 126.874,365.838"/> <text x="165.5" y="382.5" font-family="Times New Roman" font-size="20">a</text> <path stroke="black" stroke-width="1" fill="none" d="M 213.65,417.013 A 22.5,22.5 0 1 1 238.954,424.715"/> <text x="239.5" y="371.5" font-family="Times New Roman" font-size="20">ba*b</text> <polygon fill="black" stroke-width="1" points="238.954,424.715 248.352,423.881 242.323,415.903"/> <polygon stroke="black" stroke-width="1" points="89.5,326.5 89.5,296.5"/> <polygon fill="black" stroke-width="1" points="89.5,296.5 84.5,304.5 94.5,304.5"/> <polygon stroke="black" stroke-width="1" points="17.5,356.5 59.5,356.5"/> <polygon fill="black" stroke-width="1" points="59.5,356.5 51.5,351.5 51.5,361.5"/> <polygon stroke="black" stroke-width="1" points="248.5,446.5 308.5,446.5"/> <polygon fill="black" stroke-width="1" points="308.5,446.5 300.5,441.5 300.5,451.5"/> </svg> 最后的结果显然是一个 union 形式的 NFA ## Lec 06: Pumping Lemma (包含 Context-Free Language 版本) 尝试策清楚,不一定对。不过一定会保证做题是对的。 ### 正确性证明 <?xml version="1.0" standalone="no"?> <!DOCTYPE svg PUBLIC "-//W3C//DTD SVG 1.1//EN" "https://www.w3.org/Graphics/SVG/1.1/DTD/svg11.dtd"> <svg width="800" height="600" version="1.1" xmlns="http://www.w3.org/2000/svg"> <ellipse stroke="black" stroke-width="1" fill="none" cx="167.5" cy="268.5" rx="30" ry="30"/> <ellipse stroke="black" stroke-width="1" fill="none" cx="310.5" cy="179.5" rx="30" ry="30"/> <ellipse stroke="black" stroke-width="1" fill="none" cx="453.5" cy="268.5" rx="30" ry="30"/> <polygon stroke="black" stroke-width="1" points="192.97,252.648 285.03,195.352"/> <polygon fill="black" stroke-width="1" points="285.03,195.352 275.596,195.334 280.88,203.824"/> <text x="244.5" y="244.5" font-family="Times New Roman" font-size="20">x</text> <path stroke="black" stroke-width="1" fill="none" d="M 297.275,152.703 A 22.5,22.5 0 1 1 323.725,152.703"/> <text x="306.5" y="103.5" font-family="Times New Roman" font-size="20">y</text> <polygon fill="black" stroke-width="1" points="323.725,152.703 332.473,149.17 324.382,143.292"/> <polygon stroke="black" stroke-width="1" points="335.97,195.352 428.03,252.648"/> <polygon fill="black" stroke-width="1" points="428.03,252.648 423.88,244.176 418.596,252.666"/> <text x="368.5" y="244.5" font-family="Times New Roman" font-size="20">z</text> <polygon stroke="black" stroke-width="1" points="52.5,268.5 137.5,268.5"/> <polygon fill="black" stroke-width="1" points="137.5,268.5 129.5,263.5 129.5,273.5"/> </svg> 抄一下定义: If $A$ is a regular language, then there is a positive constant $p$ such that every string $w \in A$ of length at least $p$ can be written as $w = xyz$ satisfying the following conditions: - $\forall i \geq 0, xy^iz \in A$ - $|y| > 0$ and - $|xy| \leq p$ 其中 $p$ 是 pumping length 想一下为什么是对的。 1. 首先 regular language 一定是一个可以被 DFA 或者 NFA 识别的 language。所以我们对于这个 $A$ 是一定可以构造一个 DFA/NFA 来识别的。为了方便,以下讨论 DFA。 2. 假设 $n$ 是这个 DFA 的 state 的数量 3. 假设 $w \in L$ 并且 $|w| \geq n$ 4. **在这个自动机读入 $w$ 的前 $n$ 个字符后一定有一个状态达到过两次** 感觉这里是要详细说明一下的,如果不搞懂的话后面非常不好懂。$|w| = 0$ 的情形先不讨论了,直接看 $|w| \geq 1$  5. 所以就是说,必然存在一个 state 被重复走了。对应上面的 $y$ ### 做题 5: 证明一个 Language 不是 regular language **反证法证明** :套路大概如下: 1. 假设要证明的 language 是 regular language 2. $n$ 是未知的 3. $w$ 可以在满足 $w \in L$ 和 $|w| \geq n$ 的条件下自由选择 4. $x, y, z$ 也是未知的 5. 找到一个 $k$ 使得 $xy^kz \not\in L$ 还是非常抽象,来看一些例子。**见另外一个文档。** ### 证明 Language type 方法的总结 给定一个 language $L$ - To prove $L$ is regular - construct a DFA/NFA - To prove $L$ is not regular - Use pumping lemma (For Reg) - To prove $L$ is CFG - construct PDA - To prove $L$ is not CFG - Pumping lemma (For CF) - Lec 8: P? $L = \{a^nb^nc^n| n \geq 0\}$ is not CF 最后修改:2025 年 11 月 09 日 © 允许规范转载 打赏 赞赏作者 支付宝微信 赞 如果觉得我的文章对你有用,请随意赞赏
1 条评论
果博东方客服开户联系方式【182-8836-2750—】?薇- cxs20250806】
果博东方公司客服电话联系方式【182-8836-2750—】?薇- cxs20250806】
果博东方开户流程【182-8836-2750—】?薇- cxs20250806】
果博东方客服怎么联系【182-8836-2750—】?薇- cxs20250806】